当前位置:首页>原创消息>原创歌曲《我等你在仙女湖畔》,来听听怎么样!

原创歌曲《我等你在仙女湖畔》,来听听怎么样!

  • 发布时间:2023-04-19 23:50:29

  • 求职招聘房屋出租交流论坛家电维修生活服务二手房顺风车二手市场

    点击上面文字,查找/发布新余分类信息

    ♬ 听着音乐,慢慢感受

    歌 词

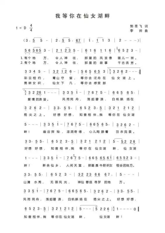
    《我等你在仙女湖畔》

    词:郭显飞  曲:李帅

    演唱:小艾

    有个地方,令人神往,

    那里的风景像画儿一样。

    彩云相约,青山守望,

    等你去泛舟在仙女湖上。


    有个地方,令人神往,

    那里的故事千古流芳。

    男耕女织,仙女下凡,

    等你去感受爱情的浪漫。

    风雨同舟,荡起碧浪,

    白帆飘扬在桅尖之上。

    好想好想,知音相伴,

    我等你在仙女湖畔!


    幽谷探秘,溶洞奇缘,

    心儿陶醉着羽衣霓裳。

    好想好想,知音相伴,

    我等你在仙女湖畔,仙女湖畔!

    新余仙乡,人间天堂,

    那里是牛郎织女相会的地方。

    山清水秀,无限风光,

    神仙眷侣寻梦的地方。


    风雨同舟,荡起碧浪,

    白帆飘扬在桅尖之上。

    好想好想,知音相伴,

    我等你在仙女湖畔,仙女湖畔!


    曲作者李帅

    1989年出生,中国音乐著作权协会会员、、新余市合唱协会常务理事、,新余市新之梦合唱团指挥、音乐总监,2017年入选新余市首批中青年文艺人才库。近年来,活跃在省市各类文艺活动和音乐创作领域。

    你觉得好听吗?

    可以留言写下你的听歌感受哦!

    觉得好听的话就分享给朋友吧~

    支持原创,

    支持新余人自己的音乐!

     END 


    微新余《旅游路线》精选推荐 

     超便宜:北海+越南双飞6日游丨1499元/人

     江西独立成团-大理腾冲瑞丽芒市5晚6日(直飞大理一仅需1180元)

     完美无忧-纯净双岛(全陪班)— 仅需1720元

     北京+天津真纯玩双飞6日仅需1190元(派全陪)

    ☑  贵州黄果树瀑布、镇远古城、西江千户苗寨、青岩古镇双高五日游 1869元


                

    微新余·知新余

    江西乐在网络科技有限公司
    地址:站前西路延伸段渝水服务中心东300米

    电话:0790-6457088